国内航线12.1亿人次,与2019年水平持平。
国际航线4731.8万人次,只恢复到2019年的1/3。
截至2023 年底,我国境内运输机场共有 259 个,比2019年增加20个。
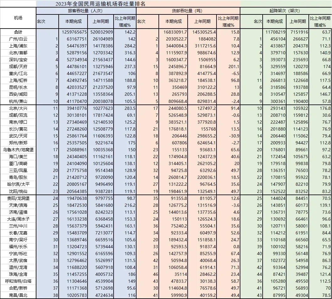
一、千万级机场38座
6000万级,1个
5000万级,3个
4000万级,6个
3000万级,2个
2000万级,11个
1000万级,15个
5000万级,个
5000万级,个
5000万级,个
5000万级,个
二、百万级机场:68座
900万级,1个
800万级,1个
700万级,5个
600万级,2个
500万级,2个
400万级,1个
300万级,5个
200万级,19个
100万级,28个
四、百万级以下机场:157座
50万-100万级,38个
50万以下119个



